serosv is an easy-to-use and efficient tool to estimate
infectious diseases parameters (seroprevalence and force of infection)
using serological data. The current version is mostly based on the book
“Modeling Infectious Disease Parameters Based on Serological and Social
Contact Data – A Modern Statistical Perspective” by Hens et
al., 2012 Springer.
You can install the development version of serosv with:
# install.packages("devtools")
devtools::install_github("OUCRU-Modelling/serosv")serosv contains 15 built-in serological datasets as
provided by Hens et
al., 2012 Springer. Simply call the name to load a dataset, for
example:
rubella <- rubella_uk_1986_1987The following methods are available to estimate seroprevalence and force of infection.
Parametric approaches:
Frequentist methods:
Polynomial models:
Nonlinear models:
Fractional polynomial models
Bayesian methods:
Hierarchical Farrington model
Hierarchical log-logistic model
Nonparametric approaches:
Semiparametric approaches:
Penalized splines:
Penalized likelihood framework
Generalized Linear Mixed Model framework
Load the rubella in UK dataset.
library(serosv)
rubella <- rubella_uk_1986_1987Fit the data using a fractional polynomial model via
fp_model(). In this example, the model searches for the
best combination of powers within a specified range.
rubella_mod <- fp_model(
rubella,
p=list(
p_range=seq(-2,3,0.1), # range of powers to search over
degree=2 # maximum degree for the search
),
monotonic = T, # enforce model to be monotonic
link="logit"
)
rubella_mod
#> Fractional polynomial model
#>
#> Input type: aggregated
#> Powers: -0.9, -0.9
#>
#> Call: glm(formula = as.formula(formulate(curr_p)), family = binomial(link = link))
#>
#> Coefficients:
#> (Intercept) I(age^-0.9)
#> 4.342 -4.696
#> I(I(age^-0.9) * log(age))
#> -9.845
#>
#> Degrees of Freedom: 43 Total (i.e. Null); 41 Residual
#> Null Deviance: 1369
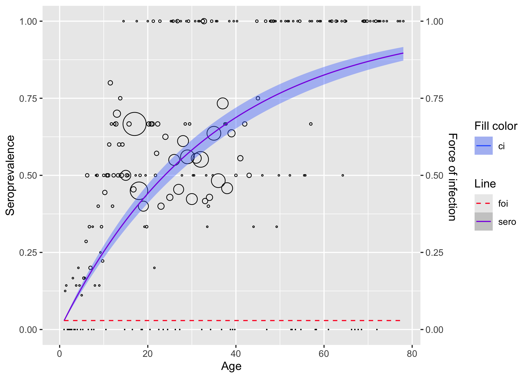
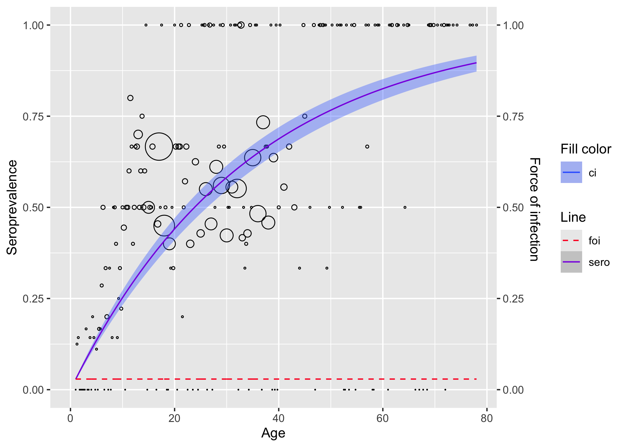
#> Residual Deviance: 37.58 AIC: 210.1Visualize the model
plot(rubella_mod)
library(dplyr)
parvob19 <- parvob19_fi_1997_1998
# for linelisting data, either transform it to aggregated
transform_data(
parvob19$age,
parvob19$seropositive,
stratum_col = "age") |>
polynomial_model(k = 1) |>
plot()
# or fit data as is
parvob19 |>
rename(status = seropositive) |>
polynomial_model(k = 1) |>
plot()